Ги Молле' (Guy Mollet) (р. 1905), французский политический деятель; см. Молле Ги.
Гиа'ды (греч. Hyades), рассеянное звёздное скопление в созвездии Тельца. Представляет собой сфероидальную группу из 100 физически связанных между собой звёзд. Диаметр скопления около 4 парсек, расстояние от Солнца 41 парсек. Приблизительно 80000 лет назад Г. находились на кратчайшем расстоянии от Солнца (около 20 парсек).
Гиалино'з (от греч. hyálinos — прозрачный, стекловидный, от hýalos — стекло), вид белковой дистрофии, при которой в той или иной ткани организма вне клеток появляются полупрозрачные плотные белковые массы, напоминающие основное вещество гиалинового хряща.
Гиали'т (от греч. hýalos — стекло), минерал, разновидность опала, содержащая до 10% H2O. Встречается в виде плотных водяно-прозрачных бесцветных корочек, гроздевидных агрегатов, мелких сталактитоподобных образований и т.п. Структура обычно отвечает аморфному гидрогелю, иногда частично раскристаллизованному до субмикрокристаллических фаз SiO2 (a — кристобалит, кварц). Блеск стеклянный; твердость по минералогической шкале 5—6; плотность 2000—2200 кг/м3. Отлагается из горячих водных растворов, гейзеров, в пустотах вулканических горных пород.
Гиалопили'товая структу'ра (от греч. hýalos — стекло и pilos — войлок), структура основной массы эффузивных пород, состоящая примерно из равных количеств различно ориентированных микролитов и вулканического стекла.
Гиалопла'зма, основное вещество, часть цитоплазмы животных и растительных клеток, не содержащая структур, различимых в световом микроскопе. С помощью электронного микроскопа в Г. различают ультраструктуры — мембраны, рибосомы, между которыми находится гомогенная цитоплазма, называемая матриксом, а иногда также Г.
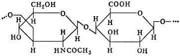
Гиалуро'новая кислота', кислый мукополисахарид, состоящий из повторяющихся единиц a-глюкуронидо-N-ацетилглюкозамина:

Широко распространена в тканях животных и человека. Молярная масса 200000—500000 и более. Содержится в коже, синовиальной жидкости, оболочках яйцеклеток. Г. к. — существенный компонент основного вещества соединительной ткани. Растворы Г. к. обладают высокой вязкостью, поэтому она способна понижать проницаемость тканей, препятствуя проникновению в них болезнетворных микробов.
Обмен Г. к. в организме совершается быстро — период её полураспада в организме 2 дня. Ферментативный гидролиз Г. к. с образованием ацетилглюкозамина и глюкуроновой кислоты осуществляется гиалуронидазой, которая присутствует в оболочках болезнетворных бактерий, сперме, яде змей, пауков, пчёл, слюнных выделениях пиявок, быстро растущих опухолях. Гиалуронидаза микробов и ядов, разрушая Г. к. межклеточного вещества, способствует распространению инфекции в глубь тканей организма. Гиалуронидаза спермы, растворяя фолликулярный слой яйцеклетки, создаёт благоприятные условия для её оплодотворения.
Гиалуронидазу используют в качестве лечебного препарата для ускорения всасывания жидкости при обезвоживании организма; как фактор, способствующий быстрому проникновению анестезирующих веществ; для уменьшения разрастания соединительной ткани после различных травм и др.
В. В. Мальцева.
Гиаци'нт (Hyacinthus), род многолетних луковичных растений семейства лилейных. Цветочная стрелка высотой до 40 см. Листья желобчатые, ярко-зелёные, собраны в виде розетки. Цветки колокольчатые, с приятным ароматом, собраны в колосовидную кисть. Известен 1 вид Г. восточный (Н. orientalis), дико произрастающий в Восточном Средиземноморье. Родоначальник всех сортов Г. В культуре известен с начала 15 в. Сорта Г. характеризуются различной окраской цветков, размером, формой и плотностью цветочной кисти; имеются сорта с махровыми и простыми цветками. На юге СССР в открытом грунте Г. зацветает в марте — апреле, в центральном районе Европейской части СССР — в мае. Г. выращивают на хорошо освещенных участках с лёгкой супесчаной почвой, проницаемой для воды и воздуха. При подготовке почвы вносят перегной (10—15 кг/м2) и костную муку (80 г/м2). Размножают Г. луковицами и реже — семенами. На юге луковицы высаживают в октябре — начале ноября, в центральном районе в сентябре на глубине 8—10 см. В центральном районе и сев. районах на зиму посадки укрывают сухими древесными листьями и соломой, весной укрытие снимают. Уход за растениями состоит из полива, подкормок, прополок и рыхлений почвы. После отцветания растений и отмирания у них листьев луковицы выкапывают, просушивают в затенённом проветриваемом помещении, очищают от земли и старых чешуй и хранят до посадки в сухом месте при температуре 20—22 °С. Г. используют также для зимнего цветения.
Название цветка Г. связано с древнегреческом мифом о любимце Аполлона, прекрасном юноше Гиацинте (из тела или крови Г., убитого из ревности богом ветра Зефиром, Аполлон вырастил прекрасный цветок).
Лит.: Алферов В. А. и Зайцева Е. Н., Гиацинты, М., 1963; Киселев Г. Е., Цветоводство, 3 изд., М., 1964.
Гиацинт восточный: 1 — цветущее растение; 2 — соцветие немахровой формы; 3 — соцветие махровой формы.
Гиаци'нтик (Hyacinthella), род многолетних луковичных растений семейства лилейных. Высота растений 15—20 см. Листьев 2—3, желобчатые, в розетке при основании цветочной стрелки. Цветки воронковидные, белые или голубые, около 1,5—2 см в диаметре, собраны в кисть. Доли околоцветника короче трубки, прямые. В роде свыше 30 видов, произрастающих в степях, предгорьях и горах Европы, Малой и Средней Азии; в СССР —4 вида.